دیدهبان خلیج فارس
سازمان ملل: "خلیج فارس" یک استاندارد جهانی غیر قابل تغییر است
- ديده بان خليج فارس
- نمایش از چهارشنبه, 30 فروردين 1391 06:44
- بازدید: 6191
خبرگزاری مهر: به رغم تلاش ناکام برخی کشورهای منطقه و معدودی از دول و رسانه های غربی در استفاده از واژه هایی مجعول نظیر خلیج "ع ر ب ی"و تلاش آنها برای تملک جزایر سه گانه، اسناد رسمی سازمان ملل حکایت از آن دارد که این سازمان در نامه ای رسمی از همه کشورها خواسته تا در هر موردی از نام استاندارد "خلیج فارس" استفاده کنند.
cheap shoes nike dunk sb silver box collection - Low shoes - GiftofvisionShops - nike jordans retro 1 camo shoes black friday deals , Sneakers - Women's shoes | 106 - Nike WMNS Air Force 1 Shadow "Pastel" - LacollesurloupShops - nike dunks brown white black friday images , CI0919
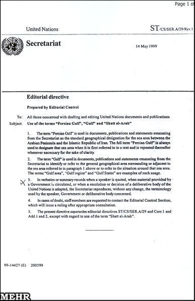
در یکی از اسناد سازمان ملل که متعلق به 14 می سال 1999 است دبیرخانه سازمان ملل متحد به صراحت از واژه خلیج فارس استفاده کرده و از آن به عنوان یک استاندارد جهانی جغرافیایی یاد کرده است.
متن این سند به شرح زیر است :

ترجمه بند اول این سند رسمی موجود در دبیرخانه سازمان ملل متحد که در 5 بند آماده شده به شرح زیر است:
"واژه خلیج فارس در اسناد و انتشارات و همچنین بیانیه هایی که از سوی دبیرخانه ( دبیرکل ) صادر می شود استفاده می شود. این واژه یک نام استاندارد جغرافیایی برای یک منطقه دریایی میان جمهوری اسلامی ایران و کشورهای عرب منطقه ( شبه جزیره اعراب ) است. واژه کامل فارس همواره برای معرفی این منطقه دریایی استفاده می شود. در ابتدای این سند نیز این نام به همین منطقه اشاره می کرد و پس از این نیز این نام درهر زمانی که نیاز به شفافیت حس شود تکرار خواهدشد."
نگاهی به تاریخ کهن "خلیج فارس
|
یونانیان باستان آبهای درون گیتی را چهارگانه می دانستند. خلیج فارس، دریای خزر، خلیج عربی دریای سرخ و دریای مدیترانه. این مطلب گویای این حقیقت است که خلیج عربی به دریای سرخ اطلاق می شد. |
مورخان و محققان خارجی دنیای قدیم از جمله هرودوت، نئار خوس، استرابون، کورسیوس رومی و نیز محققان اسلامی نظیر استخری، مسعودی، بیرونی، ابن حوقل، مقدسی، مستوفی و ناصر خسرو در آثار و نوشته های خود از آن به نام "خلیج فارس" یا "دریای پارس" یاد کرده اند.
همچنین ایرانیان و یونانیان باستان برداشتهای دوگانه ای از جغرافیای آبهای گیتی داشتند. در حالی که هر دو گروه کره خاکی را دایره مانند و محصور در اقیانوس کناری یا حاشیه ای می دانستند که بر گرد آن قرار دارد و دریاهای درونی از اقیانوس کناری منشعب می شود. ایرانیان عصر هخامنشی بر این گمان بودند که آبهای درون گیتی شامل دو دریا می شود، دریای پارس و دریای باخترروم در حالی که یونانیان باستان آبهای درون گیتی را چهارگانه می دانستند. خلیج فارس، دریای خزر، خلیج عربی دریای سرخ و دریای مدیترانه. این مطلب گویای این حقیقت است که خلیج "ع رب ی" به دریای سرخ اطلاق می شد.
جعل واژه خلیج "ع ر ب ی" از کجا آغاز شد؟
البته از سرآغاز قرن بیستم تا سال 1962 هیچ تردیدی در آثار و نوشته های عربی، در استفاده از خلیج فارس وجود نداشت تا اینکه در سال 1962 روزنامه تایمز لندن در یکی از مقالات خود از خلیج "ع رب ی" به جای خلیج فارس استفاده کرد. و از آن زمان به بعد برخی از نویسندگان و سیاستمداران عرب تلاش می کنند که این نام مجعول را جایگزین خلیج فارس نمایند.
لازم به ذکر است چنین تلاشهایی تا قبل از سال 1962 نیز وجود داشت که بیشتر توسط برخی سیاستمداران تندرو عرب برای رسیدن به مقاصد سیاسی شان انجام می شد. در سال 1958 سرهنگ عبدالکریم قاسم با کودتایی در عراق به حکومت رسید و بعد از مدتی داعیه رهبری جهان عرب را مطرح ساخت. در راستای چنین اندیشه ای از تاکتیک دشمن تراشی برای تحریک احساسات عمومی ملی سود جست و برای نخستین بار خلیج فارس را به نام جعلی خلیج "ع رب ی" خواند.
خلیج فارس نام دریایی است که ما را از ایران جدا می کند، ولی بنا به اهداف سیاسی که به اصطلاح قوم گرایان عرب یکه تاز آن بودند نام خلیج فارس به خلیج "ع رب ی" تبدیل شده است، بدون آنکه حرمت تاریخ و عاقبت و احترام لازم به این امر گذارده شود. |
| روزنامه الانباء کویت |
البته نخستین تلاش ها برای تغییر نام خلیج فارس به دهه 1930 بر می گردد که با شکست همراه بود. سرچارلز بلگریو نماینده سیاسی بریتانیا در بحرین، پرونده ای را برای دگرگون کردن نام خلیج فارس تشکیل داد و به سفرای بریتانیا پیشنهاد داد که نام خلیج "ع رب ی" را به جای خلیج فارس به کار ببرند. این کار مصادف بود با تجدید حیات تلاشهای سیاسی گسترده دولت ایران برای بازپس گیری بحرین، تنب بزرگ و کوچک، ابوموسی، سیری، قشم، هنگام و دیگر جزایر ایرانی اشغال شده و سرزمین خوزستان از انگلیس ها، که خلیج فارس را دریای اختصاصی انگلستان می نامیدند. در این شرایط بریتانیا نمی توانست با اجرای سیاست دگرگون کردن نام خلیج فارس بیش از پیش در نزد افکار عمومی و بین المللی محکوم شود. به این دلیل پرونده تشکیل شده بسته و بایگانی شد.
باید یادآور شد در دنیای عرب کسان زیادی هستند که ضمن تاکید بر لزوم حفظ حرمت و هویت تاریخی خلیج فارس از تفرقه افکنی که توسط انگلیسی ها برای کسب امتیازات از قرن نوزدهم در خلیج فارس آغاز شد، پیروی نمی کنند. برای مثال روزنامه کویتی" الانباء"چندی پیش در مقاله ای با عنوان هویت آب نوشت: خلیج فارس نام دریایی است که ما را از ایران جدا می کند، ولی بنا به اهداف سیاسی که به اصطلاح قوم گرایان عرب یکه تاز آن بودند نام خلیج فارس به خلیج "ع رب ی" تبدیل شده است، بدون آنکه حرمت تاریخ و عاقبت و احترام لازم به این امر گذارده شود.
-------------------------------
گزارش: عبدالحمید بیاتی




